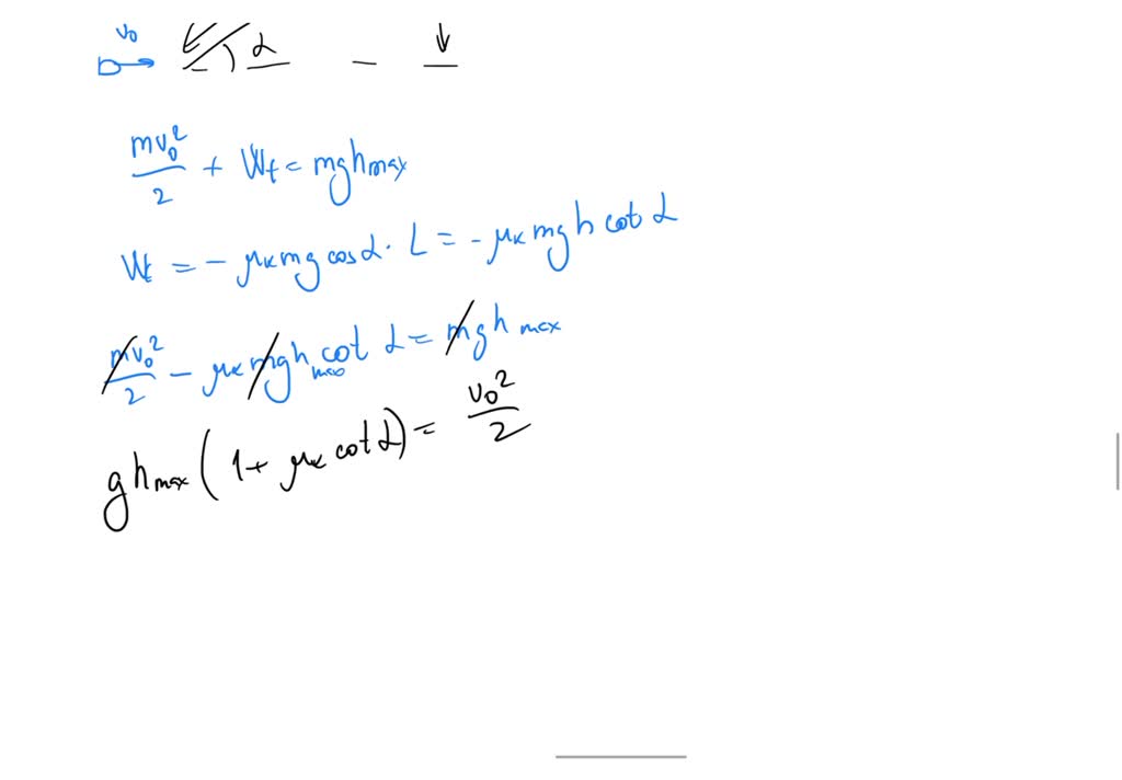
A 200G Hockey Puck Is Launched Up A Metal Ramp That Is Inclined At A 30 . Find the max vertical height achieved by puck in upward motion: Web a 200 g hockey puck is launched up a metal ramp that is inclined at a 30° angle. Web a 200 g hockey puck is launched up a metal ramp that is inclined at a 30° angle. The coefficients of static and kinetic friction. Using force balance along the incline:. The coefficients of static and. Web a 200 g hockey puck is launched up a metal ramp that is inclined at a 30° angle. Web the coefficients of static and kinetic friction between the puck and the ramp are µs = 0.40 and µk = 0.30,. A 200 g hockey puck is launched up a metal ramp that is inclined at a 30° angle. Web the hockey puck reaches a maximum vertical height of 954.39 meters above its starting point. The coefficients of static and. The coefficients of static and.
from www.chegg.com
The coefficients of static and kinetic friction. The coefficients of static and. The coefficients of static and. Web a 200 g hockey puck is launched up a metal ramp that is inclined at a 30° angle. Using force balance along the incline:. A 200 g hockey puck is launched up a metal ramp that is inclined at a 30° angle. Web the hockey puck reaches a maximum vertical height of 954.39 meters above its starting point. Web the coefficients of static and kinetic friction between the puck and the ramp are µs = 0.40 and µk = 0.30,. Web a 200 g hockey puck is launched up a metal ramp that is inclined at a 30° angle. Web a 200 g hockey puck is launched up a metal ramp that is inclined at a 30° angle.
Solved A 200g hockey puck is launched at an initial speed
A 200G Hockey Puck Is Launched Up A Metal Ramp That Is Inclined At A 30 Web the coefficients of static and kinetic friction between the puck and the ramp are µs = 0.40 and µk = 0.30,. Web a 200 g hockey puck is launched up a metal ramp that is inclined at a 30° angle. Web the hockey puck reaches a maximum vertical height of 954.39 meters above its starting point. A 200 g hockey puck is launched up a metal ramp that is inclined at a 30° angle. The coefficients of static and. The coefficients of static and. Web a 200 g hockey puck is launched up a metal ramp that is inclined at a 30° angle. Web a 200 g hockey puck is launched up a metal ramp that is inclined at a 30° angle. Find the max vertical height achieved by puck in upward motion: The coefficients of static and. Using force balance along the incline:. The coefficients of static and kinetic friction. Web the coefficients of static and kinetic friction between the puck and the ramp are µs = 0.40 and µk = 0.30,.
From www.numerade.com
SOLVED A 200 g hockey puck is launched up a metal ramp that is A 200G Hockey Puck Is Launched Up A Metal Ramp That Is Inclined At A 30 Find the max vertical height achieved by puck in upward motion: Web the hockey puck reaches a maximum vertical height of 954.39 meters above its starting point. The coefficients of static and. The coefficients of static and kinetic friction. The coefficients of static and. Web a 200 g hockey puck is launched up a metal ramp that is inclined at. A 200G Hockey Puck Is Launched Up A Metal Ramp That Is Inclined At A 30.
From www.bartleby.com
Answered Magnitude horizontal force F must act… bartleby A 200G Hockey Puck Is Launched Up A Metal Ramp That Is Inclined At A 30 A 200 g hockey puck is launched up a metal ramp that is inclined at a 30° angle. Web a 200 g hockey puck is launched up a metal ramp that is inclined at a 30° angle. Find the max vertical height achieved by puck in upward motion: Web a 200 g hockey puck is launched up a metal ramp. A 200G Hockey Puck Is Launched Up A Metal Ramp That Is Inclined At A 30.
From www.numerade.com
SOLVED A 200g hockey puck is launched at an initial speed of 70 m/s A 200G Hockey Puck Is Launched Up A Metal Ramp That Is Inclined At A 30 Web a 200 g hockey puck is launched up a metal ramp that is inclined at a 30° angle. Using force balance along the incline:. Web the hockey puck reaches a maximum vertical height of 954.39 meters above its starting point. The coefficients of static and. The coefficients of static and. Find the max vertical height achieved by puck in. A 200G Hockey Puck Is Launched Up A Metal Ramp That Is Inclined At A 30.
From www.chegg.com
Solved A 200g hockey puck is launched at an initial speed A 200G Hockey Puck Is Launched Up A Metal Ramp That Is Inclined At A 30 The coefficients of static and. Web a 200 g hockey puck is launched up a metal ramp that is inclined at a 30° angle. The coefficients of static and. The coefficients of static and kinetic friction. Web a 200 g hockey puck is launched up a metal ramp that is inclined at a 30° angle. Web the hockey puck reaches. A 200G Hockey Puck Is Launched Up A Metal Ramp That Is Inclined At A 30.
From www.homeworklib.com
A 150.0 g hockey puck is launched up a metal ramp that is inclined at a A 200G Hockey Puck Is Launched Up A Metal Ramp That Is Inclined At A 30 Web a 200 g hockey puck is launched up a metal ramp that is inclined at a 30° angle. The coefficients of static and. Web a 200 g hockey puck is launched up a metal ramp that is inclined at a 30° angle. Web a 200 g hockey puck is launched up a metal ramp that is inclined at a. A 200G Hockey Puck Is Launched Up A Metal Ramp That Is Inclined At A 30.
From www.chegg.com
Solved 1. A hockey puck is launched (by accident) up and out A 200G Hockey Puck Is Launched Up A Metal Ramp That Is Inclined At A 30 Web the coefficients of static and kinetic friction between the puck and the ramp are µs = 0.40 and µk = 0.30,. The coefficients of static and. Using force balance along the incline:. Web the hockey puck reaches a maximum vertical height of 954.39 meters above its starting point. Find the max vertical height achieved by puck in upward motion:. A 200G Hockey Puck Is Launched Up A Metal Ramp That Is Inclined At A 30.
From www.numerade.com
SOLVED A 200 g hockey puck is launched up a metal ramp that is A 200G Hockey Puck Is Launched Up A Metal Ramp That Is Inclined At A 30 Web the coefficients of static and kinetic friction between the puck and the ramp are µs = 0.40 and µk = 0.30,. A 200 g hockey puck is launched up a metal ramp that is inclined at a 30° angle. Web a 200 g hockey puck is launched up a metal ramp that is inclined at a 30° angle. Web. A 200G Hockey Puck Is Launched Up A Metal Ramp That Is Inclined At A 30.
From www.chegg.com
Solved 12) A 200 g hockey puck is launched up a metal ramp A 200G Hockey Puck Is Launched Up A Metal Ramp That Is Inclined At A 30 Web a 200 g hockey puck is launched up a metal ramp that is inclined at a 30° angle. Using force balance along the incline:. Web a 200 g hockey puck is launched up a metal ramp that is inclined at a 30° angle. The coefficients of static and kinetic friction. The coefficients of static and. Web a 200 g. A 200G Hockey Puck Is Launched Up A Metal Ramp That Is Inclined At A 30.
From www.numerade.com
SOLVED Problem 2 A 200 gram hockey puck is launched up a metal ramp A 200G Hockey Puck Is Launched Up A Metal Ramp That Is Inclined At A 30 The coefficients of static and. Web the coefficients of static and kinetic friction between the puck and the ramp are µs = 0.40 and µk = 0.30,. Web a 200 g hockey puck is launched up a metal ramp that is inclined at a 30° angle. The coefficients of static and. Find the max vertical height achieved by puck in. A 200G Hockey Puck Is Launched Up A Metal Ramp That Is Inclined At A 30.
From www.numerade.com
SOLVED Problem 2 A 200 gram hockey puck is launched up a metal ramp A 200G Hockey Puck Is Launched Up A Metal Ramp That Is Inclined At A 30 Find the max vertical height achieved by puck in upward motion: A 200 g hockey puck is launched up a metal ramp that is inclined at a 30° angle. Web a 200 g hockey puck is launched up a metal ramp that is inclined at a 30° angle. Web a 200 g hockey puck is launched up a metal ramp. A 200G Hockey Puck Is Launched Up A Metal Ramp That Is Inclined At A 30.
From www.numerade.com
SOLVED Problem 2 A 200 gram hockey puck is launched up a metal ramp A 200G Hockey Puck Is Launched Up A Metal Ramp That Is Inclined At A 30 Web a 200 g hockey puck is launched up a metal ramp that is inclined at a 30° angle. Web a 200 g hockey puck is launched up a metal ramp that is inclined at a 30° angle. Using force balance along the incline:. Web the hockey puck reaches a maximum vertical height of 954.39 meters above its starting point.. A 200G Hockey Puck Is Launched Up A Metal Ramp That Is Inclined At A 30.
From www.bartleby.com
Answered 3. A hockey puck of mass 0.25 kg starts… bartleby A 200G Hockey Puck Is Launched Up A Metal Ramp That Is Inclined At A 30 Web a 200 g hockey puck is launched up a metal ramp that is inclined at a 30° angle. Find the max vertical height achieved by puck in upward motion: Using force balance along the incline:. The coefficients of static and. Web a 200 g hockey puck is launched up a metal ramp that is inclined at a 30° angle.. A 200G Hockey Puck Is Launched Up A Metal Ramp That Is Inclined At A 30.
From brainly.com
A 200 g hockey puck is launched up a metal ramp that is inclined at a A 200G Hockey Puck Is Launched Up A Metal Ramp That Is Inclined At A 30 Web the coefficients of static and kinetic friction between the puck and the ramp are µs = 0.40 and µk = 0.30,. Find the max vertical height achieved by puck in upward motion: Web a 200 g hockey puck is launched up a metal ramp that is inclined at a 30° angle. Web a 200 g hockey puck is launched. A 200G Hockey Puck Is Launched Up A Metal Ramp That Is Inclined At A 30.
From www.numerade.com
A 200 g hockey puck is launched up a metal ramp that is inclined at a A 200G Hockey Puck Is Launched Up A Metal Ramp That Is Inclined At A 30 Web the hockey puck reaches a maximum vertical height of 954.39 meters above its starting point. A 200 g hockey puck is launched up a metal ramp that is inclined at a 30° angle. The coefficients of static and. The coefficients of static and. Using force balance along the incline:. Web the coefficients of static and kinetic friction between the. A 200G Hockey Puck Is Launched Up A Metal Ramp That Is Inclined At A 30.
From www.sportsbusinessjournal.com
NHL’s SensorEmbedded Puck Allows for Better Broadcast Stats, Graphics A 200G Hockey Puck Is Launched Up A Metal Ramp That Is Inclined At A 30 Using force balance along the incline:. The coefficients of static and. A 200 g hockey puck is launched up a metal ramp that is inclined at a 30° angle. The coefficients of static and. The coefficients of static and kinetic friction. Web the hockey puck reaches a maximum vertical height of 954.39 meters above its starting point. Find the max. A 200G Hockey Puck Is Launched Up A Metal Ramp That Is Inclined At A 30.
From www.numerade.com
SOLVED 13) A 200 g hockey puck is launched up a metal ramp that is A 200G Hockey Puck Is Launched Up A Metal Ramp That Is Inclined At A 30 Find the max vertical height achieved by puck in upward motion: The coefficients of static and kinetic friction. Using force balance along the incline:. Web a 200 g hockey puck is launched up a metal ramp that is inclined at a 30° angle. Web the coefficients of static and kinetic friction between the puck and the ramp are µs =. A 200G Hockey Puck Is Launched Up A Metal Ramp That Is Inclined At A 30.
From www.numerade.com
SOLVED Question 35 The hockey stick is in motion as shown What Energy A 200G Hockey Puck Is Launched Up A Metal Ramp That Is Inclined At A 30 A 200 g hockey puck is launched up a metal ramp that is inclined at a 30° angle. The coefficients of static and. The coefficients of static and kinetic friction. Web a 200 g hockey puck is launched up a metal ramp that is inclined at a 30° angle. Using force balance along the incline:. Web a 200 g hockey. A 200G Hockey Puck Is Launched Up A Metal Ramp That Is Inclined At A 30.
From www.numerade.com
SOLVED 4. Putting everything together Block on a ramp (2 points) (a A 200G Hockey Puck Is Launched Up A Metal Ramp That Is Inclined At A 30 Web a 200 g hockey puck is launched up a metal ramp that is inclined at a 30° angle. The coefficients of static and kinetic friction. Web the coefficients of static and kinetic friction between the puck and the ramp are µs = 0.40 and µk = 0.30,. Find the max vertical height achieved by puck in upward motion: A. A 200G Hockey Puck Is Launched Up A Metal Ramp That Is Inclined At A 30.